
第一作者:任汉承
通讯作者:庞博
论文DOI://doi.org/10.1016/j.watres.2024.122816
详细信息:Ren, H., Pang, B., Zhao, G., Yu, H., Tian, P., Xie, C., 2024. Incorporating Dynamic Drainage Supervision into Deep Learning for Accurate Real-Time Flood Simulation in Urban Areas. Water Research 122816.
成果简介
近日,探花大神 庞博副教授课题组在国际顶级期刊《Water Research》上发表了科研成果:“Incorporating Dynamic Drainage Supervision into Deep Learning for Accurate Real-Time Flood Simulation in Urban Areas”。《Water Research》期刊属于 Nature index(自然指数)期刊,在水科学与环境生态领域具有广泛影响力,中科院分区为一区 TOP,最新影响因子为 11.4。探花大神 为该论文的第一完成单位,探花大神 2023 级博士生任汉承为第一作者,探花大神 庞博副教授为通讯作者。
论文导读
城市洪水已成为全球普遍面临的自然灾害问题。与自然流域中的洪水不同,城市洪水过程受复杂排水系统和城市下垫面空间异质性的显著影响,这给洪水的准确快速模拟带来了巨大挑战。本文提出一种城市排水监督洪水模型(urban drainage-supervised flood model,UDFM)用于城市洪水模拟。该模型解耦了城市洪水过程,强调了排水系统动态响应信息表征城市洪水过程的必要性,采用深度学习与降维算法代理计算成本密集的二维地表模块。根据不同的任务需求,开发了 UDFM-物理模型(physical model,PM)与 UDFM-深度学习(deep learning,DL)两种模型变种(如图 1 所示)。:

Fig.1:UDFM结构示意图
UDFM-PM:降雨产汇流和排水系统水动力过程采用物理模型,以排水系统的溢流量动态序列作为表征因子驱动地表二维洪水演进过程。
UDFM-DL:解耦城市水文洪水过程,运用深度学习和统计降维方法分级监督并代理降雨 - 管网溢流 - 地表洪水过程。
将UDFM应用于具有高度城市化特征的深圳市罗湖区,与其他现有城市洪水模拟方法相比(如Fig.2所示),UDFM-DL 展现出了最优精度和实时预测能力,尤其在流速模拟任务中,平均纳什效率系数(AvgNSE)比当前领先的响应面模型(response surface model,RSM)和低保真模型(low fidelity model, LFM)分别提高了 0.112 和 0.251,优于当前最先进的城市洪水快速代理思路。UDFM-PM 则在无需额外构建物理模型的情况下,提高了精度、灵活性、可解释性和可扩展性,同时保留了实施低影响开发和管网调度的可能性。

Fig.2:不同的城市洪水模拟方法思路对比
综合来看,该研究成功开发了一种用于城市洪水过程模拟的新型代理框架。此框架在计算精度与速度方面具有双重优势,充分证实了排水系统动态信息对城市洪水模拟的表征贡献。实验结果也有力地证实了对复杂水文系统进行解耦并实施分级监督数据驱动的可行性与潜在优势,为城市环境中的水安全设计改造、洪水预警以及风险管理提供了全新的思路。
结果展示
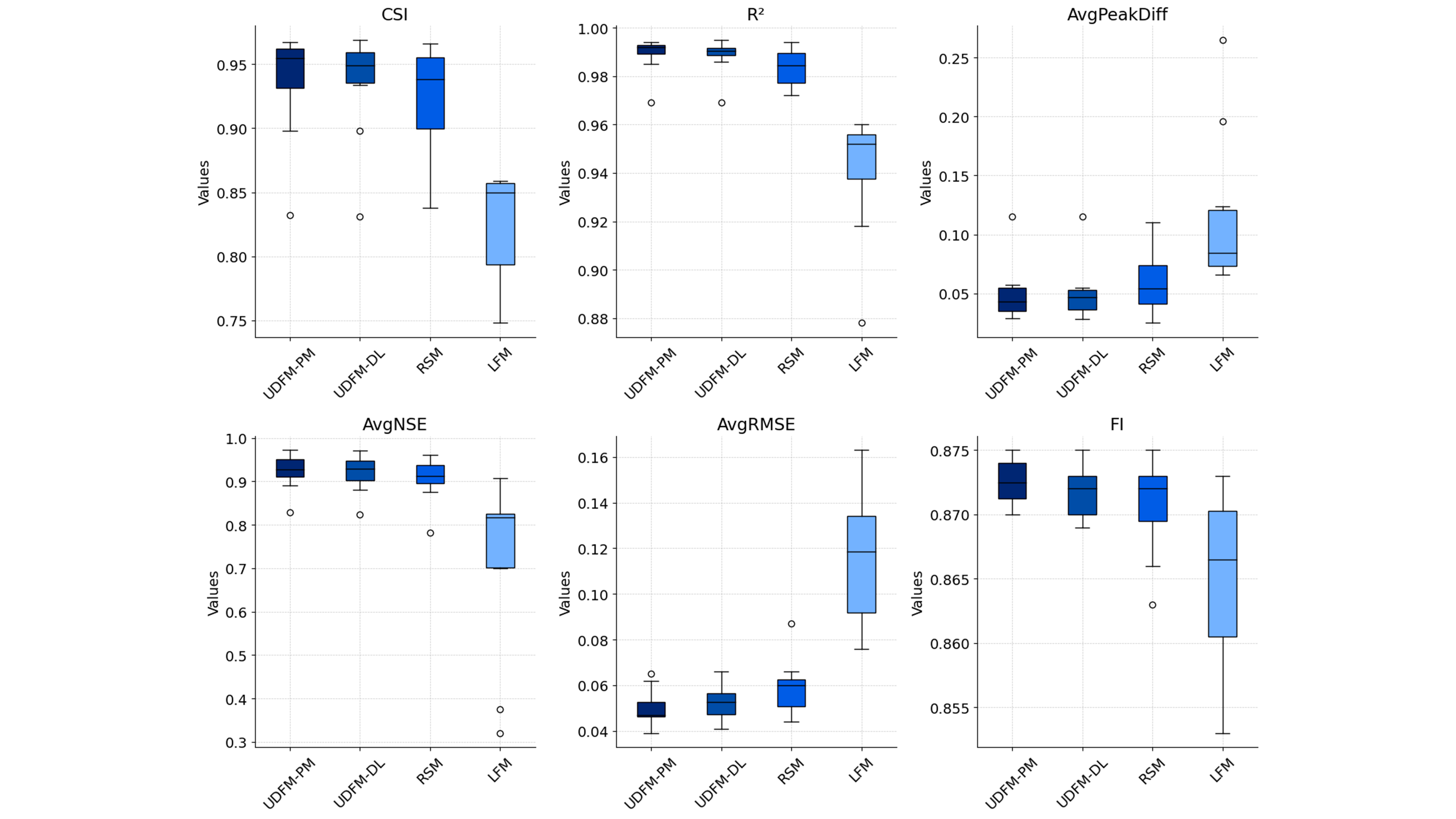
文中提到的Fig.6和Fig.7 展示了不同模型在验证集上的深度和速度评价指标分布。UDFM-PM 和 UDFM-DL 在深度预测和速度预测方面表现优异。在深度预测中,UDFM-PM 的CSI(一致性指数)为 0.936,R²(决定系数)为 0.989。在速度预测中,UDFM - PM 的 CSI 为 0.86,为 0.965。UDFM-DL 模型的表现与UDFM-PM 类似,显示出这两种模型在洪水灾害评估中的精度优势。UDMF具有较低的平均归一化均方根误差(AvgRMSE)和较高的平均归一化标准误差(AvgNSE),表明其对误差有很强的控制能力。

Fig. 6. Distribution of metrics for different models applied to the validation set (depth simulation).

Fig. 7. Distribution of metrics for different models applied to the validation set (velocity simulation).
将UDFM和其他城市洪水快速代理方法应用于深圳市罗湖区2023年9月7日的真实暴雨事件反演,从洪水淹没范围(Fig8和Fig9)、洪水过程线(Fig10)和洪水极值(Fig11和Fig12)三个层面进行模型评估.
洪水淹没范围
Fig.8 和Fig.9 展示了四个模型在深度和速度模拟中的误差空间分布,颜色代表不同的均方根误差(RMSE)范围。在深度模拟中,UDFM-DL表现最佳,除了在建筑物密集区域的狭窄通道外,大部分误差在 0.10m以下。在速度模拟中,模型误差主要集中在主要城市道路,即洪水事件中流速相对较高的区域。其中,UDFM-DL 再次表现最佳,大部分区域的 RMSE 保持在 0.10m/s以下。UDFM在模拟流速方面性能的提升是由于使用了排水系统的溢流量作为地表洪水的驱动因素,溢流量(m³/s)和流速(m/s)具有相似的量纲特征,使模型能够捕捉更多动量信息,这种溢流量和流速之间的直接关系使 UDFM 能够更准确地模拟洪水运动,有助于其在流速预测方面性能的增强。

Fig. 8. Spatial error distributions of different models (depth simulation): (a) UDFM-PM; (b) UDFM-DL; (c) RSM; (d) LFM.

Fig. 9. Spatial error distributions of different models (velocity simulation): (a) UDFM-PM; (b) UDFM-DL; (c) RSM; (d) LFM.
洪水过程线
Fig.10展示了各模型的时间误差分布。通过计算各模型与 UHM 相比在每个时间步的平均均方根误差(RMSE)来评估时间误差过程。在深度模拟中,UDFM-PM 和 UDFM-DL 的误差随时间保持稳定的低值,显示出高精度和处理复杂降雨过程的能力。在速度模拟中,UDFM-PM 和 UDFM-DL 始终保持约 0.05m/s 的低且稳定的误差。速度误差分布与降雨强度一致,这表明强降雨时的高流速情景模拟具有一定挑战性。

Fig. 10. Temporal error distributions of different models: (a) depth simulation and (b) velocity simulation.
洪水极值
峰值分析展示了不同模型在模拟洪峰深度与流速方面的表现。在深度模拟(Fig.11)中,UDFM-PM 和 UDFM-DL 精度较高,其中 UDFM-DL 的散点分布最为紧密且误差最小。RSM 在低深度范围表现良好,但在较大深度时精度降低。LFM 表现最差,分布分散且预测区间宽,这表明其在最大深度模拟中稳定性低。在流速模拟(Fig.12)中,UDFM-PM 和 UDFM-DL 精度最高,尤其在低到中等流速范围,误差低且散点分布紧密。

Fig. 11. Comparison of peak values for water depth simulation across different models: (a) UDFM-PM; (b) UDFM-DL; (c) RSM; (d) LFM.

Fig. 12. Comparison of peak values for velocity simulation across different models: (a) UDFM-PM; (b) UDFM-DL; (c) RSM; (d) LFM.
效率提升
表 5 展示了使用英特尔 i9-12900kCPU 和 英伟达RTX 3090 GPU 在真实降雨场景中不同模型的计算时间和效率提升。总体而言,如果使用数据驱动的深度学习模型块,可以实现实时计算输出。计算速度的差异主要与代理模型中保留的物理模块的计算复杂性有关。其中,UDFM-PM效率提升83.97%,UDFM-DL能够完成实时的计算输出。
Table 5. Time costs of different models during the application phase (20-hour rainfall duration; approximately 200-year return period).
Component |
Runtime |
Efficiency Improvement |
|||
PM |
Runoff + 1D N‒S |
2D N‒S |
82 min 11 s |
\ |
|
UDFM-PM |
Runoff + 1D N‒S; |
Deep learning; |
Statistical model; |
13 min 11 s |
83.97% |
13 min 11 s |
real time (<1 s=""> |
real time (<1 s=""> |
|||
UDFM-DL |
Deep learning; |
Deep learning; |
Statistical model; |
Real time (<1 s=""> |
99.99% |
real time (<1 s=""> |
real time (<1 s=""> |
real time (<1 s=""> |
|||
RSM |
\ |
Deep learning; |
Statistical model; |
Real time (<1 s=""> |
99.99% |
\ |
real time (<1 s=""> |
real time (<1 s=""> |
|||
LFM |
Low-fidelity model |
High-fidelity model |
Deep learning |
57 s |
98.84% |
57 s |
\ |
Real time (<1 s=""> |
|||
作者介绍

第一作者:任汉承,探花大神 2023 级博士研究生,水文学及水资源专业。主要研究方向为城市水文学与人工智能深度学习,以第一作者在《Water Research》《Journal of Hydrology》和《Remote Sensing》等期刊发表论文。

通讯作者:庞博,男,1979年生,副教授,博士生导师,现任探花大神 水文所副所长,探花大神与海绵城市技术北京市重点实验室副主任。德国赫姆霍兹研究中心博士后,美国爱荷华大学访问学者,中国气象学会水文气象学委员会委员、中国水利学会城市水利专委会青年委员。主要从事城市水文学、人工智能与大数据方法、极值事件与水文风险和变化环境下的水文响应等研究工作。在国内外水文水资源核心刊物和国际学术会议论文集上发表论文100余篇,主持并参与国家自然科学基金等各类项目20余项,参编教材和专著3部,获科技进步奖3项。
文章链接: //www.sciencedirect.com/science/article/pii/S0043135424017159
近期热点
2024-12-04
第十七届中国水论坛(更新至...